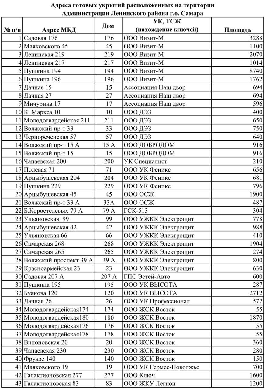
Администрация Ленинского района г.о. Самара опубликовала список мест, где можно спрятаться при ракетной опасности или угрозе атаки беспилотников.
Поводом стали события минувшей пятницы, 27 февраля. Именно в этот день жители региона услышали звук сирен – но речь шла не о проверке оборудования. Впервые регион оказался под угрозой ракетных обстрелов.
Как выяснилось, далеко не все горожане были готовы к такому развитию событий. Судя по сообщениям в социальных сетях, многие укрытия оказались заперты, и было непонятно, у кого находятся ключи. Некоторые граждане и вовсе растерялись, не зная, куда бежать и как правильно реагировать на сигнал тревоги.
В администрации города оперативно подготовили перечень убежищ. Пока он доступен для жителей Ленинского района. В списке значатся подвальные помещения многоквартирных домов. Они пригодны для временного размещения людей в случае ЧС.
Самарцев настоятельно призывают заранее ознакомиться с расположением таких объектов. И стоит помнить, что при объявлении опасности важно сохранять спокойствие и четко следовать инструкциям сотрудников МЧС и местных властей.
По остальным районам Самары данные уточняются.
Как рассказывал OBOZ.INFO, 4 марта в 10:40 в Самаре пройдет плановая проверка систем оповещения. Сирены прозвучат в течение 5 минут, включая голосовые сообщения. Горожан просят сохранять спокойствие. Подобные проверки проводятся регулярно по всей стране.










